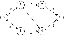
Distance Calculation Using Bellman-Ford Algorithm
Enter number of locations:
Enter number of paths (distances):
Next
Enter Location Names
Enter Paths (Distances)
Select Source Location
Source location:
Calculate Shortest Paths